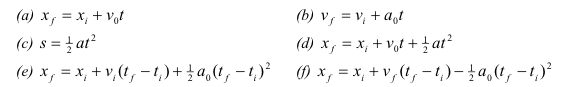
Kinematic Equations
Your textbook shows
you a pile of equations relating distances, velocities, and accelerations
for a variety of situations. For each of the equations labeled (a) to (f),
start from the two conceptual equations, <v> = Δx/Δt and <a> = Δv/Δt then
- Describe in words what special case is being considered. Specify what conditions hold (e.g., what is assumed constant, if anything, what are the names of the starting and ending values, etc.) and write an equation specifying that condition.
- Show how to get the equation
from the two equations above. For each demonstration ( "proof" or "derivation" )
of the final equation, state explicitly any additional equation you use and
whether it is (i) an assumed condition for the special case being considered,
(ii) a definition, (iii) something else. (If so, what?)
All these equations appear in most physics textbooks. Are all these equations correct? How can they be? Don't they contradict each other? Discuss what you think about this.
Not finding what you wanted? Check the
Site
Map for more information.
Page last modified
August 29, 2004