![]() |
Teaching Physics with the Physics Suite
Home | Action Research Kit| Sample Problems | Resources | Product Information |
Problems Sorted by Type | Problems Sorted by Subject | Problems Sorted by Chapter in UP |
A transverse wave pulse is traveling in the +x direction along a long stretched string. The origin is taken at a point on the string which is far from the ends. The speed of the wave is v (a positive number). At time t = 0, the displacement of the string is described by the function;

(a) Construct a graph that portrays the actual shape of the string at t = 0 for the case A = l/2.
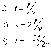
(b) Sketch a graph of the wave form at the following times:

Not finding what you wanted? Check the Site Map for more information.
Page last modified October 30, 2002: O19