Many special symbols are commonly used in mathematics. Some of them the we use here are:
∃ -- there exists
∀ -- for all
⊂ -- the set on the left is contained in the set on the right
⊆ -- the set on the left is contained in or equal to the set on the right
⊃ -- the set on the left contains the set on the right
⊄-- the set on the left is not contained in the set on the right
∈ -- the item on the left is an element of the set on the right
∉ -- the item on the left is not an element of the set on the right
∅ -- the empty set
⊥ -- is perpendicular to
∝ -- is proportional to
∴ -- therefore
∇ -- the gradient operator
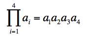
∏ -- product of (as in
)
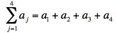
∑ -- sum of (as in
)
⊕ -- direct sum (used to build larger vector spaces)
⊗ -- direct product (used to build more complex vector spaces)
Last revision 25. October, 2005.