Suppose we consider a two-dimensional complex linear inner-product space. A general vector in this space takes the form
a = αe1 + βe2
where α and β are complex numbers and e1 and e2 are (real) basis vectors. We define our inner product to be
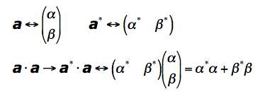
a = αe1 + βe2
b = γe1 + δe2
a⋅b = α* γ + β* δ.
We put complex conjugates on the left vector's components so that
a⋅a = α* α + β* β = |α|2 + |β|2 > 0.
We use the complex conjugate because if we just defined it as α2 + β2, it wouldn't always be positive. If α or β were complex, their square wouldn't necessarily even be a real number and we want the length of a vector to be a real positive number.
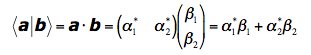
This is very natural if we are working in a particular coordinate basis so we can write the vector as a two-component (complex) vector. The dot product is then just the matrix product of a row vector with a column vector:

Notice that in a complex
space, all complex coefficients are in the space, so given the vector
the
vector
is
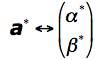
just another vector in the space. But for the vector a,
a* is a special vector. It is associated with a by
the operation of complex conjugation. To get the length of a vector
in a complex space, instead of taking the dot product of the vector with itself,
we take the dot product of the vector with another vector in the space -- the
one associated with the original vector by complex conjugation.
Now using the one- and two-column representations of our vectors is fine if we are never going to be changing coordinates. If we are, the column vector becomes ambiguous. Which basis vectors do we mean that a particular column goes with? We want a representation that is basis independent and allows us to put a particular basis in as we chooses. We also want one that will keep track of whether we are talking of our original vector or whether we have complex conjugated it in order to take an inner product.
A notation that does this very nicely was invented by the physicist P. A. M. Dirac for quantum physics -- but we can use it anywhere. The notation chooses to enclose the vector symbol in a surround marker rather than putting an arrow over it. Dirac chose the notation of "half a bracket" (a ket ) to represent a vector. The other half of the bracket (a bra ) was used to represent the vector's complex conjugate. Putting them together gave a "bra-ket" or "bracket" that represented a number -- the inner product. Here's how it works in symbols:
![]()
Notice when a bra and a ket are put together to make a number the two lines are collapsed into a single line to show that they are bound into a single object. In a particular basis, this corresponds to the component notation as follows.

Last revision 25. October, 2005.