| The basic definition of complex numbers is that we extend our real number line by adding a number not on that line, the square root of 1 and all multiples of that by a real number. This leads to two independent (orthogonal) real lines, equivalent to a plane. We write
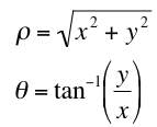
Polar coordinates are very convenient when working with complex numbers. We define the length of the vector z and the angle it makes with the x axis as:
![]() |
![]() |

This gives the important representation of a complex number
Last revision 2. September, 2005.