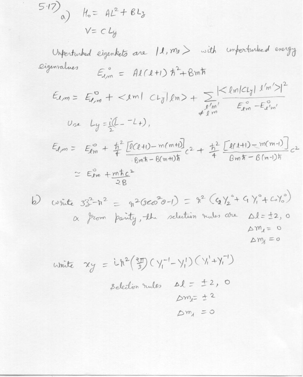
Homework_solutions, Problem set #3 :