![]() |
Problems for |
When a small object of temperature Tis placed in a large heat bath of temperature TB, the temperature of the object will eventually approach the temperature of the bath. An approximate way of describing the change in the object's temperature as a function of time is given by Newton's law of cooling:

(a) If the temperature of the object at the time t = 0 (when it is immersed in the bath) is T(0) = T0 , use the Euler method to approximately find the temperature of the bath at times tn = n Δt for n = 1, and 2, assuming Δt is small.
(b) Since the rate of change of T is proportional to T, the
solution is bound to be an exponential, looking something like
.
Without going through the process of solving the equation, figure out what
A, B, and α have to be and explain why you think so.
(c) In asking part (a), we said "assuming Δt is small." Compared to what? Explain your choice.
(d) In stating the problem, we said that Newton's law of cooling was "an approximate way of describing the change in an object's temperature..." Why approximate? What are some things we have left out that might be relevant for a real-world example?
Solution
(a) The Euler method combines the first two terms of the Taylor series with the differential equation to producing a stepping rule for solving the equation. The Taylor series is:
Dropping the terms of order (Δt)2 and higher, and putting in the Newton cooling equation for the derivative of T at time t, we get:
If we choose our time t to be tn = n Δt, this becomes:
![]()
To get our answer for n=1 and 2, we just substitue those values.
.
[GRADING PATTERN: The stepping rule for going from the nth to the n+1st step was worth 5 pts. The evaluation of the rule for the first step was worth 2, and the evaluation of the rule for the second (including substituting in for T1 was worth 3 pts.]
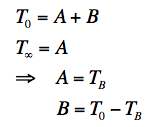
(b) We should be able to figure this out by first using the extreme conditions: What happens at zero? and What happens as time approaches infinity? At zero, we know that T has to have the value T0. At infinity, we expect the temperature to go to that of the bath, TB. Since the exponential of 0 is 1 and the exponential of -∞ is 0, we get the two equations:

For α, it must be expressed in terms of the parameters (constants) of the equation. The only ones we have are two temperatures (T0 and TB) and the constant λ. We need to use something that has dimensions 1/time in order to be able to take an exponent of αt. This is exactly the dimensions of λ so we expect that α must be proprtional to λ. A reasonable guess is that α = λ. (In fact, this is correct without the dimensionless proportionality constant equal to 1.)
[GRADING PATTERN: There were three constants to explain. The first you did (whichever that was) was worth 4 pts, the next two, 3 pts each. For each, the explanation was worth 2 pts.]
(c) We know the statement that a quantity is "small" is meaningless for a dimensioned number. "Small" basically means that something is << 1 so we can ignore its square (and all higher powers). The only way we can say a dimensioned number is small is to take its ratio to some natural scale in the problem. In this problem, the only quantity with a dimension related to time is λ. This has dimensions 1/time. So we can multiply Δt by it and create the dimensionless quantity "λ Δt" which is dimensionless. We can say this is small (much less than 1).
[GRADING PATTERN: The answer was worth 3 pts, the reason 2.]
(d) Newton's law of cooling assumes that at any given time, t, the object is at a single uniform temperature, T(t). It also assumes that the bath remains at a uniform temperature throughout. This is an approximation. For any real object and real bath, heat energy will flow between the bath and the object at the surface and there will be local changes in the temperature of the bath and object. Also, as the two objects come to equilibrium, they will settle at some temperature in between the two. Only if the bath were truly infinite would it be able to gain heat energy from the object and stay the same temperature.
[GRADING PATTERN: The first correct reason was worth 3, the second 2.]
| University of Maryland | Physics Department | Physics 374 Home |
|---|---|---|
![]() |
![]() |
![]() |
Last revision 19. October, 2005.