![]() |
Problems for |

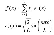
could be expanded in a Fourier series

with Fourier coefficients:

(a) If at time t = 0 the string is plucked in the center so that when it is released:

then find an expression that will give the shape of the string for all times, y(x, t).
(b) Assuming that it is OK to ignore any damping or internal friction, will the string ever resume its original shape after it has been released? If so, will it do it regularly? If so, with what period? Explain carefully how you came to your conclusion.
(c) Suppose that instead of plucking the string in the center, you plucked it 1/4 of the way from one end to the other. Answer the same question as in (b).
| University of Maryland | Physics Department | Physics 374 Home |
|---|---|---|
![]() |
![]() |
![]() |
Last revision 14. November, 2004.